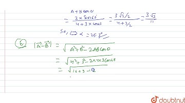
In vector diagram shown in figure where \( (\overrightarrow{\mathrm...

Tonton & Download Video Musik Gratis

⬇ DOWNLOAD NOW
Kalau muncul iklan pop-up, tutup lalu klik tombol kembali

Download lagu In vector diagram shown in figure where \( (\overrightarrow{\mathrm... secara gratis hanya untuk keperluan promosi. Dukung artis favorit kamu dengan membeli musik original di iTunes atau platform resmi lainnya.