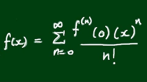
Maclaurin's Series | Power series of Cos x using Maclaurin Series | Example solved | Mathspedia |

Tonton & Download Video Musik Gratis

⬇ DOWNLOAD NOW
Kalau muncul iklan pop-up, tutup lalu klik tombol kembali

Download lagu Maclaurin's Series | Power series of Cos x using Maclaurin Series | Example solved | Mathspedia | secara gratis hanya untuk keperluan promosi. Dukung artis favorit kamu dengan membeli musik original di iTunes atau platform resmi lainnya.