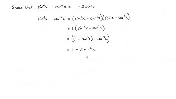
How to Verify Trigonometric Identities (sin^4x-cos^4x)=1-2cos^2x - Trigonometry

Tonton & Download Video Musik Gratis

⬇ DOWNLOAD NOW
Kalau muncul iklan pop-up, tutup lalu klik tombol kembali

Download lagu How to Verify Trigonometric Identities (sin^4x-cos^4x)=1-2cos^2x - Trigonometry secara gratis hanya untuk keperluan promosi. Dukung artis favorit kamu dengan membeli musik original di iTunes atau platform resmi lainnya.