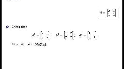
order of every element of a finite group is a divisor of the order of the group. unit 2 class 21

Tonton & Download Video Musik Gratis

⬇ DOWNLOAD NOW
Kalau muncul iklan pop-up, tutup lalu klik tombol kembali

Download lagu order of every element of a finite group is a divisor of the order of the group. unit 2 class 21 secara gratis hanya untuk keperluan promosi. Dukung artis favorit kamu dengan membeli musik original di iTunes atau platform resmi lainnya.