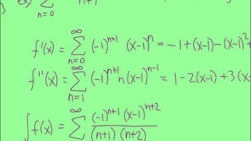
BC Calc - Sect 8.6 - Diff and Integration of Power Series

Tonton & Download Video Musik Gratis

⬇ DOWNLOAD NOW
Kalau muncul iklan pop-up, tutup lalu klik tombol kembali

Download lagu BC Calc - Sect 8.6 - Diff and Integration of Power Series secara gratis hanya untuk keperluan promosi. Dukung artis favorit kamu dengan membeli musik original di iTunes atau platform resmi lainnya.