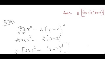
Factorisation Exercise 4.3 Q7 Class 9 Maths ICSE ML Aggarwal Solutions

Tonton & Download Video Musik Gratis

⬇ DOWNLOAD NOW
Kalau muncul iklan pop-up, tutup lalu klik tombol kembali

Download lagu Factorisation Exercise 4.3 Q7 Class 9 Maths ICSE ML Aggarwal Solutions secara gratis hanya untuk keperluan promosi. Dukung artis favorit kamu dengan membeli musik original di iTunes atau platform resmi lainnya.