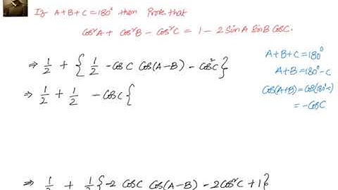
Prove: cos^(2A)/2+cos^(2B)/2+cos^(2C)/2=2+2Sin(A/2)*Sin(B/2)*Sin(C/2) | Nepo Learn

Tonton & Download Video Musik Gratis

⬇ DOWNLOAD NOW
Kalau muncul iklan pop-up, tutup lalu klik tombol kembali

Download lagu Prove: cos^(2A)/2+cos^(2B)/2+cos^(2C)/2=2+2Sin(A/2)*Sin(B/2)*Sin(C/2) | Nepo Learn secara gratis hanya untuk keperluan promosi. Dukung artis favorit kamu dengan membeli musik original di iTunes atau platform resmi lainnya.