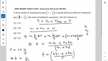
A closed container contains a homogeneous mixture of two moles of an ideal mono atomic gas(𝛾 = 5/3)

Tonton & Download Video Musik Gratis

⬇ DOWNLOAD NOW
Kalau muncul iklan pop-up, tutup lalu klik tombol kembali

Download lagu A closed container contains a homogeneous mixture of two moles of an ideal mono atomic gas(𝛾 = 5/3) secara gratis hanya untuk keperluan promosi. Dukung artis favorit kamu dengan membeli musik original di iTunes atau platform resmi lainnya.