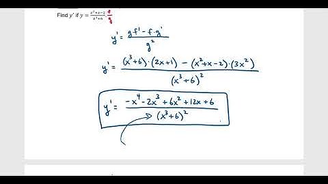
3.2 Derivatives - Deriving product rule, applying product & quotient rules (3.2 - 2)

Tonton & Download Video Musik Gratis

⬇ DOWNLOAD NOW
Kalau muncul iklan pop-up, tutup lalu klik tombol kembali

Download lagu 3.2 Derivatives - Deriving product rule, applying product & quotient rules (3.2 - 2) secara gratis hanya untuk keperluan promosi. Dukung artis favorit kamu dengan membeli musik original di iTunes atau platform resmi lainnya.