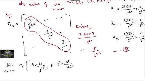
Let A = [a_ij] be a matrix of order 3×3 , with a_ij= (√2)^(i+j) . If the sum of all the elements in

Tonton & Download Video Musik Gratis

⬇ DOWNLOAD NOW
Kalau muncul iklan pop-up, tutup lalu klik tombol kembali

Download lagu Let A = [a_ij] be a matrix of order 3×3 , with a_ij= (√2)^(i+j) . If the sum of all the elements in secara gratis hanya untuk keperluan promosi. Dukung artis favorit kamu dengan membeli musik original di iTunes atau platform resmi lainnya.