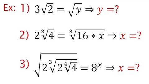
Roots and Radicals 5 - (Infinitely Nested Roots and Radicals)

Tonton & Download Video Musik Gratis

⬇ DOWNLOAD NOW
Kalau muncul iklan pop-up, tutup lalu klik tombol kembali

Download lagu Roots and Radicals 5 - (Infinitely Nested Roots and Radicals) secara gratis hanya untuk keperluan promosi. Dukung artis favorit kamu dengan membeli musik original di iTunes atau platform resmi lainnya.