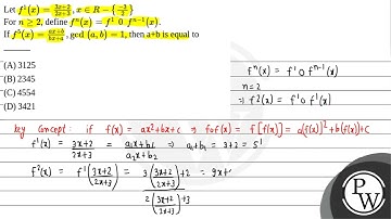
Let `f : R- gtR` be a function defined by `f(x)=(e^(|x|)-e^(-x))/(e^x+e^(-x))` then --(1) f ...

Tonton & Download Video Musik Gratis

⬇ DOWNLOAD NOW
Kalau muncul iklan pop-up, tutup lalu klik tombol kembali

Download lagu Let `f : R- gtR` be a function defined by `f(x)=(e^(|x|)-e^(-x))/(e^x+e^(-x))` then --(1) f ... secara gratis hanya untuk keperluan promosi. Dukung artis favorit kamu dengan membeli musik original di iTunes atau platform resmi lainnya.