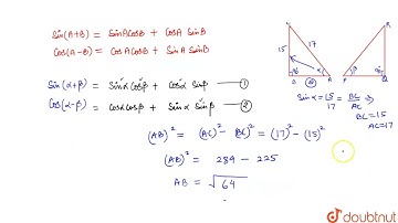
Cos(alpha + beta)+ cos(alpha - beta) ÷ Sin( Alpha + beta) + sin( alpha - beta)

Tonton & Download Video Musik Gratis

⬇ DOWNLOAD NOW
Kalau muncul iklan pop-up, tutup lalu klik tombol kembali

Download lagu Cos(alpha + beta)+ cos(alpha - beta) ÷ Sin( Alpha + beta) + sin( alpha - beta) secara gratis hanya untuk keperluan promosi. Dukung artis favorit kamu dengan membeli musik original di iTunes atau platform resmi lainnya.