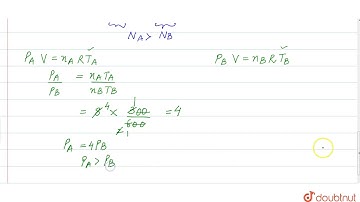
Two flasks A and B have equal volumes. A is maintained at 300  K and B at 600  K. A contains H_2 ...

Tonton & Download Video Musik Gratis

⬇ DOWNLOAD NOW
Kalau muncul iklan pop-up, tutup lalu klik tombol kembali

Download lagu Two flasks A and B have equal volumes. A is maintained at 300  K and B at 600  K. A contains H_2 ... secara gratis hanya untuk keperluan promosi. Dukung artis favorit kamu dengan membeli musik original di iTunes atau platform resmi lainnya.