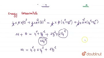
A particle of mass 2 kg moving with a speed of 6 m/s collides elastically with another particle of m

Tonton & Download Video Musik Gratis

⬇ DOWNLOAD NOW
Kalau muncul iklan pop-up, tutup lalu klik tombol kembali

Download lagu A particle of mass 2 kg moving with a speed of 6 m/s collides elastically with another particle of m secara gratis hanya untuk keperluan promosi. Dukung artis favorit kamu dengan membeli musik original di iTunes atau platform resmi lainnya.