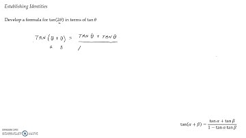
Algebra 2 14.7 Apply Double-Angle & Half-Angle Formulas part 2

Tonton & Download Video Musik Gratis

⬇ DOWNLOAD NOW
Kalau muncul iklan pop-up, tutup lalu klik tombol kembali

Download lagu Algebra 2 14.7 Apply Double-Angle & Half-Angle Formulas part 2 secara gratis hanya untuk keperluan promosi. Dukung artis favorit kamu dengan membeli musik original di iTunes atau platform resmi lainnya.