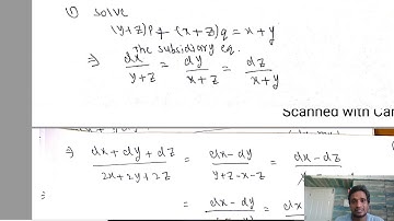
Partial Differential Equation || Charpit Method || Standard Form 1 and 2 || By Parveen Kumar

Tonton & Download Video Musik Gratis

⬇ DOWNLOAD NOW
Kalau muncul iklan pop-up, tutup lalu klik tombol kembali

Download lagu Partial Differential Equation || Charpit Method || Standard Form 1 and 2 || By Parveen Kumar secara gratis hanya untuk keperluan promosi. Dukung artis favorit kamu dengan membeli musik original di iTunes atau platform resmi lainnya.