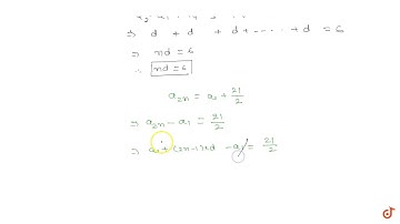
The number of terms of an A.P. is even; the sum of the odd terms is 24 , and of the even terms is...

Tonton & Download Video Musik Gratis

⬇ DOWNLOAD NOW
Kalau muncul iklan pop-up, tutup lalu klik tombol kembali

Download lagu The number of terms of an A.P. is even; the sum of the odd terms is 24 , and of the even terms is... secara gratis hanya untuk keperluan promosi. Dukung artis favorit kamu dengan membeli musik original di iTunes atau platform resmi lainnya.