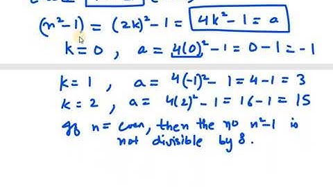
If n is an odd integer, then show that n2 - 1 is divisible by 8 | class 10 ncert | real number

Tonton & Download Video Musik Gratis

⬇ DOWNLOAD NOW
Kalau muncul iklan pop-up, tutup lalu klik tombol kembali

Download lagu If n is an odd integer, then show that n2 - 1 is divisible by 8 | class 10 ncert | real number secara gratis hanya untuk keperluan promosi. Dukung artis favorit kamu dengan membeli musik original di iTunes atau platform resmi lainnya.