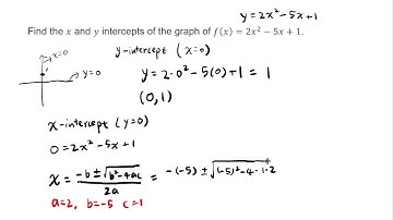
Ex: Find the Intercepts of a Quadratic Function - Requires the Quadratic Formula

Tonton & Download Video Musik Gratis

⬇ DOWNLOAD NOW
Kalau muncul iklan pop-up, tutup lalu klik tombol kembali

Download lagu Ex: Find the Intercepts of a Quadratic Function - Requires the Quadratic Formula secara gratis hanya untuk keperluan promosi. Dukung artis favorit kamu dengan membeli musik original di iTunes atau platform resmi lainnya.