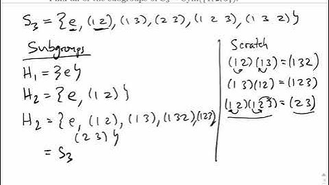
Lec 33 construction of permutation group S3 and S4, number of subgroups of order 4 in S4, subgroups

Tonton & Download Video Musik Gratis

⬇ DOWNLOAD NOW
Kalau muncul iklan pop-up, tutup lalu klik tombol kembali

Download lagu Lec 33 construction of permutation group S3 and S4, number of subgroups of order 4 in S4, subgroups secara gratis hanya untuk keperluan promosi. Dukung artis favorit kamu dengan membeli musik original di iTunes atau platform resmi lainnya.