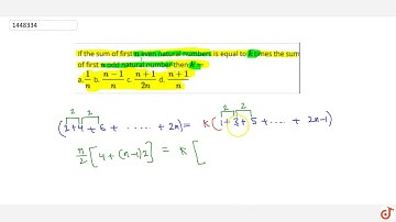
If the sum of first n even natural numbers is equal to k times |RD Sharma| Special Series|CBSE|NCERT

Tonton & Download Video Musik Gratis

⬇ DOWNLOAD NOW
Kalau muncul iklan pop-up, tutup lalu klik tombol kembali

Download lagu If the sum of first n even natural numbers is equal to k times |RD Sharma| Special Series|CBSE|NCERT secara gratis hanya untuk keperluan promosi. Dukung artis favorit kamu dengan membeli musik original di iTunes atau platform resmi lainnya.