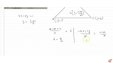
Let A(-3,2) and B(-2,1) be the vertices of a triangle ABC. If the centroid of this triangle lies ...

Tonton & Download Video Musik Gratis

⬇ DOWNLOAD NOW
Kalau muncul iklan pop-up, tutup lalu klik tombol kembali

Download lagu Let A(-3,2) and B(-2,1) be the vertices of a triangle ABC. If the centroid of this triangle lies ... secara gratis hanya untuk keperluan promosi. Dukung artis favorit kamu dengan membeli musik original di iTunes atau platform resmi lainnya.