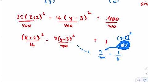
LESSON ON WRITING GENERAL EQUATION OF CONIC SECTION TO STANDARD FORM

Tonton & Download Video Musik Gratis

⬇ DOWNLOAD NOW
Kalau muncul iklan pop-up, tutup lalu klik tombol kembali

Download lagu LESSON ON WRITING GENERAL EQUATION OF CONIC SECTION TO STANDARD FORM secara gratis hanya untuk keperluan promosi. Dukung artis favorit kamu dengan membeli musik original di iTunes atau platform resmi lainnya.