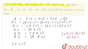
IIT JEE VECTOR ALGEBRA If ` vec axx vec b= vec cxx vec da n d vec axx vec c= vec bxx vec d ,` the...

Tonton & Download Video Musik Gratis

⬇ DOWNLOAD NOW
Kalau muncul iklan pop-up, tutup lalu klik tombol kembali

Download lagu IIT JEE VECTOR ALGEBRA If ` vec axx vec b= vec cxx vec da n d vec axx vec c= vec bxx vec d ,` the... secara gratis hanya untuk keperluan promosi. Dukung artis favorit kamu dengan membeli musik original di iTunes atau platform resmi lainnya.