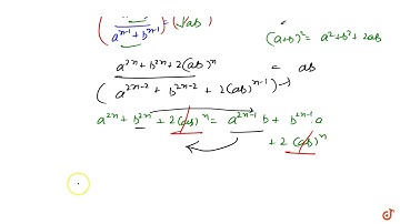
If a^n+b^n/a^n-1+b^n-1 is arithmetic mean of a and b then find the value of n. #Class10thAp #dreamz.

Tonton & Download Video Musik Gratis

⬇ DOWNLOAD NOW
Kalau muncul iklan pop-up, tutup lalu klik tombol kembali

Download lagu If a^n+b^n/a^n-1+b^n-1 is arithmetic mean of a and b then find the value of n. #Class10thAp #dreamz. secara gratis hanya untuk keperluan promosi. Dukung artis favorit kamu dengan membeli musik original di iTunes atau platform resmi lainnya.