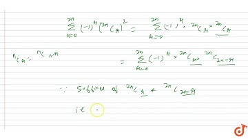
IIT JEE BINOMIAL THEOREM Prove that `^n C_0^(2n)C_n-^n C_1^(2n-2)C_n+^n C_2^(2n-4)C_n-=2^ndot`

Tonton & Download Video Musik Gratis

⬇ DOWNLOAD NOW
Kalau muncul iklan pop-up, tutup lalu klik tombol kembali

Download lagu IIT JEE BINOMIAL THEOREM Prove that `^n C_0^(2n)C_n-^n C_1^(2n-2)C_n+^n C_2^(2n-4)C_n-=2^ndot` secara gratis hanya untuk keperluan promosi. Dukung artis favorit kamu dengan membeli musik original di iTunes atau platform resmi lainnya.