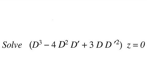
Partial Differential Equation - Type 5 - Problems 1-(D^3+D^2D'-DD'^2-D'^3)z= e^x cos 2y Maths Faizal

Tonton & Download Video Musik Gratis

⬇ DOWNLOAD NOW
Kalau muncul iklan pop-up, tutup lalu klik tombol kembali

Download lagu Partial Differential Equation - Type 5 - Problems 1-(D^3+D^2D'-DD'^2-D'^3)z= e^x cos 2y Maths Faizal secara gratis hanya untuk keperluan promosi. Dukung artis favorit kamu dengan membeli musik original di iTunes atau platform resmi lainnya.