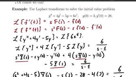
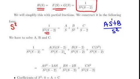
Solve the IVPs by the Laplace transform. If necessary, use partial fraction expansion as in Example…

Tonton & Download Video Musik Gratis

⬇ DOWNLOAD NOW
Kalau muncul iklan pop-up, tutup lalu klik tombol kembali

Download lagu Solve the IVPs by the Laplace transform. If necessary, use partial fraction expansion as in Example… secara gratis hanya untuk keperluan promosi. Dukung artis favorit kamu dengan membeli musik original di iTunes atau platform resmi lainnya.