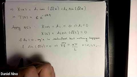
Adomian Decomposition Method for Heat equation with time-dependent Dirichlet boundary conditions.

Tonton & Download Video Musik Gratis

⬇ DOWNLOAD NOW
Kalau muncul iklan pop-up, tutup lalu klik tombol kembali

Download lagu Adomian Decomposition Method for Heat equation with time-dependent Dirichlet boundary conditions. secara gratis hanya untuk keperluan promosi. Dukung artis favorit kamu dengan membeli musik original di iTunes atau platform resmi lainnya.