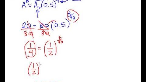
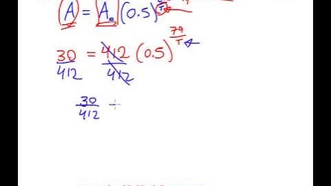
Half-Life Question: Solving for Time (Using Logs) - Bizarre Glowing Substance

Tonton & Download Video Musik Gratis

⬇ DOWNLOAD NOW
Kalau muncul iklan pop-up, tutup lalu klik tombol kembali

Download lagu Half-Life Question: Solving for Time (Using Logs) - Bizarre Glowing Substance secara gratis hanya untuk keperluan promosi. Dukung artis favorit kamu dengan membeli musik original di iTunes atau platform resmi lainnya.