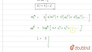
The sum of first two terms of an infinite G.P. is 5 and each term is three times the sum of the suc

Tonton & Download Video Musik Gratis

⬇ DOWNLOAD NOW
Kalau muncul iklan pop-up, tutup lalu klik tombol kembali

Download lagu The sum of first two terms of an infinite G.P. is 5 and each term is three times the sum of the suc secara gratis hanya untuk keperluan promosi. Dukung artis favorit kamu dengan membeli musik original di iTunes atau platform resmi lainnya.