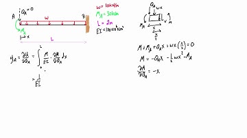
Castigliano's Theorem, Fictitious Load Method, Indeterminate Structures

Tonton & Download Video Musik Gratis

⬇ DOWNLOAD NOW
Kalau muncul iklan pop-up, tutup lalu klik tombol kembali

Download lagu Castigliano's Theorem, Fictitious Load Method, Indeterminate Structures secara gratis hanya untuk keperluan promosi. Dukung artis favorit kamu dengan membeli musik original di iTunes atau platform resmi lainnya.