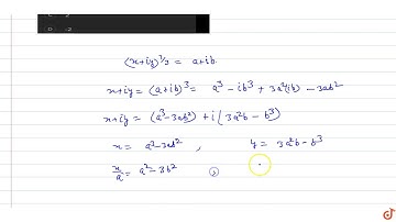
If (x+iy)^(1/3)=a+ib, where x, y, a, b∈R, show that x/a-y/b=-2(a^2+b^2 )

Tonton & Download Video Musik Gratis

⬇ DOWNLOAD NOW
Kalau muncul iklan pop-up, tutup lalu klik tombol kembali

Download lagu If (x+iy)^(1/3)=a+ib, where x, y, a, b∈R, show that x/a-y/b=-2(a^2+b^2 ) secara gratis hanya untuk keperluan promosi. Dukung artis favorit kamu dengan membeli musik original di iTunes atau platform resmi lainnya.