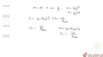
A body starts from rest and travels a distance \( S \) with uniform acceleration, then moves uni...

Tonton & Download Video Musik Gratis

⬇ DOWNLOAD NOW
Kalau muncul iklan pop-up, tutup lalu klik tombol kembali

Download lagu A body starts from rest and travels a distance \( S \) with uniform acceleration, then moves uni... secara gratis hanya untuk keperluan promosi. Dukung artis favorit kamu dengan membeli musik original di iTunes atau platform resmi lainnya.