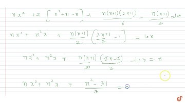
If for a positive integer n, the quadratic equation x(x+1)+(x+1)(x+2) …+(x+n-1)(x+n)=10 n hastwo ...

Tonton & Download Video Musik Gratis

⬇ DOWNLOAD NOW
Kalau muncul iklan pop-up, tutup lalu klik tombol kembali

Download lagu If for a positive integer n, the quadratic equation x(x+1)+(x+1)(x+2) …+(x+n-1)(x+n)=10 n hastwo ... secara gratis hanya untuk keperluan promosi. Dukung artis favorit kamu dengan membeli musik original di iTunes atau platform resmi lainnya.