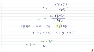
Let `A` and `B` are two events such that `P(A)=1/2` and `P(B)=1/3` If the probability of atle

Tonton & Download Video Musik Gratis

⬇ DOWNLOAD NOW
Kalau muncul iklan pop-up, tutup lalu klik tombol kembali

Download lagu Let `A` and `B` are two events such that `P(A)=1/2` and `P(B)=1/3` If the probability of atle secara gratis hanya untuk keperluan promosi. Dukung artis favorit kamu dengan membeli musik original di iTunes atau platform resmi lainnya.