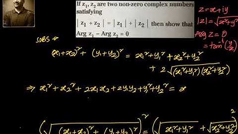
If z1, z2 and z3, z4 are two pairs of conjugate complex numbers, prove that arg(z1/z4) + arg(z2/z3)

Tonton & Download Video Musik Gratis

⬇ DOWNLOAD NOW
Kalau muncul iklan pop-up, tutup lalu klik tombol kembali

Download lagu If z1, z2 and z3, z4 are two pairs of conjugate complex numbers, prove that arg(z1/z4) + arg(z2/z3) secara gratis hanya untuk keperluan promosi. Dukung artis favorit kamu dengan membeli musik original di iTunes atau platform resmi lainnya.