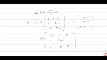
Find the characteristic equation of the matrix A = [[2, 1, 1], [0, 1, 0], [1, 1, 2]]

Tonton & Download Video Musik Gratis

⬇ DOWNLOAD NOW
Kalau muncul iklan pop-up, tutup lalu klik tombol kembali

Download lagu Find the characteristic equation of the matrix A = [[2, 1, 1], [0, 1, 0], [1, 1, 2]] secara gratis hanya untuk keperluan promosi. Dukung artis favorit kamu dengan membeli musik original di iTunes atau platform resmi lainnya.