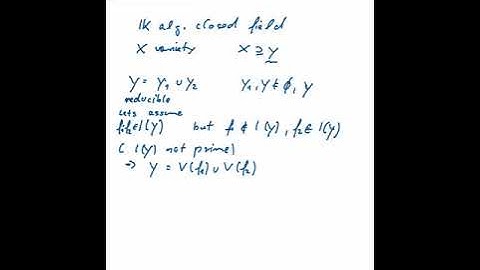
Algebraic Geometry: Nonempty Open Subset Dense In Irreducible Space

Tonton & Download Video Musik Gratis

⬇ DOWNLOAD NOW
Kalau muncul iklan pop-up, tutup lalu klik tombol kembali

Download lagu Algebraic Geometry: Nonempty Open Subset Dense In Irreducible Space secara gratis hanya untuk keperluan promosi. Dukung artis favorit kamu dengan membeli musik original di iTunes atau platform resmi lainnya.