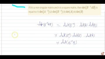
If \( A, B \) and \( A+B \) are non-singular matrices, then \[ \left(A^{-1}+B^{-1}\right)\left[A...

Tonton & Download Video Musik Gratis

⬇ DOWNLOAD NOW
Kalau muncul iklan pop-up, tutup lalu klik tombol kembali

Download lagu If \( A, B \) and \( A+B \) are non-singular matrices, then \[ \left(A^{-1}+B^{-1}\right)\left[A... secara gratis hanya untuk keperluan promosi. Dukung artis favorit kamu dengan membeli musik original di iTunes atau platform resmi lainnya.