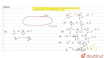
If the axes of an ellipse coincide with the coordinate axes and the ellipse passes through the po...

Tonton & Download Video Musik Gratis

⬇ DOWNLOAD NOW
Kalau muncul iklan pop-up, tutup lalu klik tombol kembali

Download lagu If the axes of an ellipse coincide with the coordinate axes and the ellipse passes through the po... secara gratis hanya untuk keperluan promosi. Dukung artis favorit kamu dengan membeli musik original di iTunes atau platform resmi lainnya.