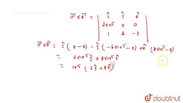
A particle having a charge of `2.0X10^(-8) C` and a mass of `2.0X10^(-10)g` is projected with a ...

Tonton & Download Video Musik Gratis

⬇ DOWNLOAD NOW
Kalau muncul iklan pop-up, tutup lalu klik tombol kembali

Download lagu A particle having a charge of `2.0X10^(-8) C` and a mass of `2.0X10^(-10)g` is projected with a ... secara gratis hanya untuk keperluan promosi. Dukung artis favorit kamu dengan membeli musik original di iTunes atau platform resmi lainnya.