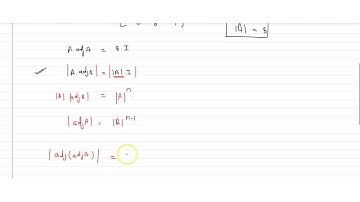
Q) If 𝐴 is a square matrix of order 4 and |adj𝐴|=27, then 𝐴(adj𝐴) is equal to #cbse2026 #maths

Tonton & Download Video Musik Gratis

⬇ DOWNLOAD NOW
Kalau muncul iklan pop-up, tutup lalu klik tombol kembali

Download lagu Q) If 𝐴 is a square matrix of order 4 and |adj𝐴|=27, then 𝐴(adj𝐴) is equal to #cbse2026 #maths secara gratis hanya untuk keperluan promosi. Dukung artis favorit kamu dengan membeli musik original di iTunes atau platform resmi lainnya.