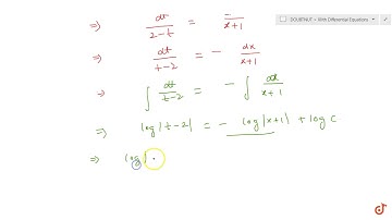
12.Find a particular solution of the differential equation (x + 1) dy/dx = 2e-y – 1, given that y =

Tonton & Download Video Musik Gratis

⬇ DOWNLOAD NOW
Kalau muncul iklan pop-up, tutup lalu klik tombol kembali

Download lagu 12.Find a particular solution of the differential equation (x + 1) dy/dx = 2e-y – 1, given that y = secara gratis hanya untuk keperluan promosi. Dukung artis favorit kamu dengan membeli musik original di iTunes atau platform resmi lainnya.