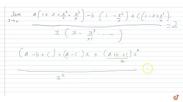
Example 7. find the value of a,b,c so that lim(x→0) (Ae^x–Bcosx+ce^-x)/(xsinx) =2

Tonton & Download Video Musik Gratis

⬇ DOWNLOAD NOW
Kalau muncul iklan pop-up, tutup lalu klik tombol kembali

Download lagu Example 7. find the value of a,b,c so that lim(x→0) (Ae^x–Bcosx+ce^-x)/(xsinx) =2 secara gratis hanya untuk keperluan promosi. Dukung artis favorit kamu dengan membeli musik original di iTunes atau platform resmi lainnya.