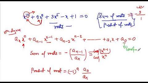
Relation between roots and coefficient of n degree polynomials|| Sum of roots || Product of roots.

Tonton & Download Video Musik Gratis

⬇ DOWNLOAD NOW
Kalau muncul iklan pop-up, tutup lalu klik tombol kembali

Download lagu Relation between roots and coefficient of n degree polynomials|| Sum of roots || Product of roots. secara gratis hanya untuk keperluan promosi. Dukung artis favorit kamu dengan membeli musik original di iTunes atau platform resmi lainnya.