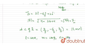
Find the angles which the vector ` vec a= hat i- hat j+sqrt(2) hat k` makes with the coordinate ...

Tonton & Download Video Musik Gratis

⬇ DOWNLOAD NOW
Kalau muncul iklan pop-up, tutup lalu klik tombol kembali

Download lagu Find the angles which the vector ` vec a= hat i- hat j+sqrt(2) hat k` makes with the coordinate ... secara gratis hanya untuk keperluan promosi. Dukung artis favorit kamu dengan membeli musik original di iTunes atau platform resmi lainnya.