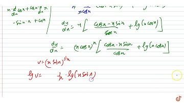
Differentiate the function w.r.t.x (x cosx ) ^x + (x sinx) 1/x Ncert continuity Differentiability

Tonton & Download Video Musik Gratis

⬇ DOWNLOAD NOW
Kalau muncul iklan pop-up, tutup lalu klik tombol kembali

Download lagu Differentiate the function w.r.t.x (x cosx ) ^x + (x sinx) 1/x Ncert continuity Differentiability secara gratis hanya untuk keperluan promosi. Dukung artis favorit kamu dengan membeli musik original di iTunes atau platform resmi lainnya.