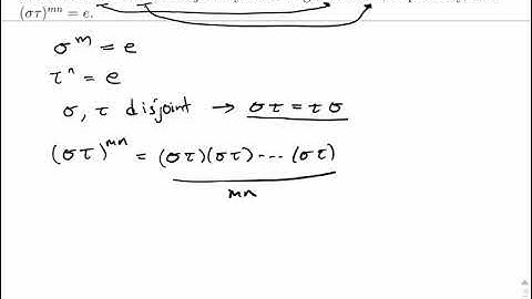
Transposition | Cycle of length 2 | Disjoint Cycles | Order of a Cycle | Group Theory || Lecture 39

Tonton & Download Video Musik Gratis

⬇ DOWNLOAD NOW
Kalau muncul iklan pop-up, tutup lalu klik tombol kembali

Download lagu Transposition | Cycle of length 2 | Disjoint Cycles | Order of a Cycle | Group Theory || Lecture 39 secara gratis hanya untuk keperluan promosi. Dukung artis favorit kamu dengan membeli musik original di iTunes atau platform resmi lainnya.